【编者按】我院微纳光学精准检测研究室基于研究成果,与北大物理学院、北航仪器科学与光电工程学院合作,在Nature Photonics、Science Advances等顶级期刊发表重要成果,展示了团队在光学微腔器件化驱动多领域应用光学新技术进展。我院张方醒研究员参与了上述工作并在器件的封装、制备和参数特化方面为合作团队提供了支持。
目前,微纳光学精准检测研究室已成功推出12款标准微腔器件产品,覆盖多种关键类型,显著提升了器件的环境适应性、稳定性和噪声抑制能力,为光学微腔技术在新兴领域的应用提供了扎实基础。这些进展展示了团队在光学微腔器件化驱动多领域应用方面的新技术突破。
以下内容转载自公众号“微纳光子技术”
北京大学长三角光电科学研究院微纳光学精准检测研究室立足于微纳光学传感技术的前瞻性和产业应用,致力于发展光学精准检测技术的高端传感芯片及设备产业化,提供定制服务。近期,研究室基于最新研究成果与北京大学物理学院、北京航空航天大学仪器科学与光电工程学院合作,分别在Nature Photonics、Science Advances、ACS Photonics中发表文章,展示了团队在光学微腔器件化驱动多领域应用光学新技术进展。北京大学长三角光电科学研究院张方醒研究员参与了上述工作并在器件的封装、制备和参数特化方面为合作团队提供了支持。
北京大学长三角光电科学研究院致力于光学微腔器件化与产品化。现已成功推出12款标准微腔器件产品,覆盖双模调谐(温/压电)、add-drop封装、少模、保偏及微型化封装(<1mL)等关键类型。器件化显著增强了微腔的环境适应性、稳定性和噪声抑制水平,为微腔技术在新兴场景的应用拓展提供强大支撑。
01 低噪声微腔光学频率梳
近日,北京大学“极端光学创新研究团队”杨起帆研究员和龚旗煌院士团队实现仄秒级定时抖动噪声的光子学微波振荡器。2025年5月23日,相关研究成果以“微腔参考具有仄秒级定时抖动噪声的孤子微梳”(Microresonator-referenced soliton microcombs with zeptosecond-level timing noise)为题,发表于《自然·光子学》(Nature Photonics)。
团队研究了一种基于微谐振器的光频分系统,该系统将集成氮化硅(Si₃N₄)微谐振器中形成的孤子微梳稳定在氟化镁(MgF₂)微谐振器的两个激光器上,并采用“两点锁定”的方案来进行光学频率分频。

基于光学微腔的光学频率分频
a,MgF₂参考光学微腔实物图片。b,Si₃N₄非线性光学微腔实物图片。c,“两点锁定”光学频率分频原理图。d,光学频率分频实验与结果。
将两束参考激光通过Pound-Drever-Hall方法锁定到同一MgF₂参考腔,两束参考激光之间的相对相位噪声将会得到显著抑制。使用连续激光泵浦集成Si₃N₄微腔可产生孤子光梳,提取参考激光与邻近光梳梳齿的拍频并进行混频即可得到光梳锁定的误差信号,通过伺服系统反馈泵浦激光的频率即可实现光梳的锁定,将锁定后的光梳耦合到光电探测器上即可合成微波信号。最终,团队基于小型化的光学频率分频系统合成的25 GHz频率微波相位噪声在10 kHz偏移频率低至-141dBc/Hz,在10 Hz偏移频率处低至-85 dBc/Hz。

抗干扰通信应用实验
a,抗干扰通信应用场景示意图。b,以光学频率分频系统(OFD)和电子学微波振荡器(PSG)作为通信系统本地振荡器时的信息信号与干扰信号频谱。c,信息信号与干扰信号的频率差对信噪比的影响。d,采用 64QAM 调制格式的信息信号解调后星座图。e,多普勒雷达应用场景。f,以OFD和PSG信号作为雷达载波时的回波频谱。
北京大学物理学院杨起帆研究员和龚旗煌院士团队基于低噪声微波信号构建多普勒雷达系统,并与传统电子学微波振荡器对比,证实了其在提升多普勒雷达灵敏度的显著优势。未来通过进一步优化和集成,有望将 OFD 技术扩展到消费市场及更多科学领域。
02 相干驱动光学微谐振器
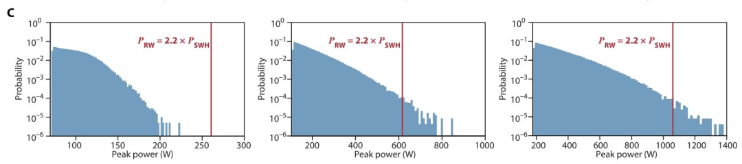
本工作利用频率可调的电光频率梳,对混沌Kerr微腔中的瞬态光学场进行了全时空测量,首次在实验上直接观测到由脉冲碰撞引起的光学“怪波”(rogue wave, RW)。


本研究统计大量RW事件,发现其峰值功率呈长尾分布,符合RW定义。实验进一步揭示了RW的形成机制:两束相位接近的弱脉冲因Kerr非线性发生构造性干涉,形成高强度RW。此外,研究还利用光子电流相关函数(CCF)量化了微腔中的能量输运过程,发现其具有长程关联性,且与数值模拟高度一致。
北京大学物理学院杨起帆研究员和龚旗煌院士团队运用高时空分辨的全场测量技术,系统揭示了混沌Kerr微腔中RW的存在条件、形成机制及其与能量输运的关联。该发现为评估微谐振器中非线性光学态的混沌性质提供了依据,对混沌测距、随机数生成和混沌通信等应用有指导意义。该成果不仅适用于光学微腔,也可推动复杂非线性动力学的统一理解。
03 双腔窄线宽激光器
量子传感器凭借对微观粒子状态的精确操控与测量,在生物、物理和化学等领域引发变革,其中自旋交换弛豫自由(SERF)原子共磁强计作为超灵敏惯性测量设备,对低噪声光源需求迫切。
本工作研究出一种双腔窄线宽激光器,可以将全封装高 Q 值回音壁模式(WGM)微谐振腔集成到体布拉格光栅(VBG)激光器中,工作于 SERF 共磁强计的 770nm 泵浦波长。

该激光器在 10Hz-1MHz 频段的频率噪声较自由运行激光器降低超过 3 个数量级,在非洁净实验环境中瞬时线宽约 20Hz,且具有针对弱瑞利散射的高锁定范围,有助于提升 SERF 原子共磁强计的精度极限并促进小体积集成。

如图可反映,团队利用自注入锁定技术,使激光器性能显著提升:频率噪声在 10Hz-1MHz 频段较自由运行状态降低 3 个数量级以上,瞬时线宽约 20Hz,拍频线宽小于 4kHz,最大锁定范围达 256MHz,且在非实验室环境中表现出良好稳定性。
北航仪器科学与光电工程学院与合作团队共同完成了微谐振腔的制备、封装及锁定参数优化,验证了该激光器在量子精密测量尤其是 SERF 原子共磁计中的应用潜力,为其精度提升和小型化集成提供了有效解决方案。



技术支持
microcavity@ydioe.pku.edu.cn;0513-51088345
产品咨询
sales@ydioe.pku.edu.cn;15251315398
专注微纳光学精准检测,可提供超高品质因子光学微腔器件及相关应用合作